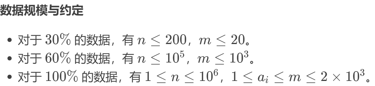
4829: P1638 逛画展
Memory Limit:128 MB
Time Limit:1.000 S
Judge Style:Text Compare
Creator:
Submit:5
Solved:3
Description

Input

Output

Sample Input Copy
12 5
2 5 3 1 3 2 4 1 1 5 4 3
Sample Output Copy
2 7
HINT
