1096: 二级 调用数学库函数
Memory Limit:128 MB
Time Limit:1.000 S
Judge Style:Text Compare
Creator:
Submit:19
Solved:17
Description
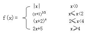
输入x ,计算并输出下列分段函数 f(x) 的值。可以调用数学库函数:平方根函数sqrt(),绝对值函数fabs() 和幂函数 pow()。
保留2位小数

保留2位小数
Input
x
Output
f(x)
Sample Input Copy
5
Sample Output Copy
15.00